Solving the aperture problem
•How to get more equations for a pixel?
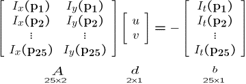
–Basic idea:  impose additional constraints
•most common is to assume that the flow field is smooth locally
•one method:  pretend the pixel’s neighbors have the same (u,v)
–If we use a 5x5 window, that gives us 25 equations per pixel!
(Seitz)