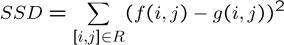
Comparing Windows:
=
?
f
g
Most
popular
(Camps)
For each window, match to closest window on epipolar line in other image.