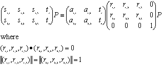
Representation is Complete
• 3D-2D affine transformation is projection in some direction + 2D-2D affine transformation. 
• 2D-2D affine maps first three image points anywhere.  So they’re irrelevant to a complete representation.
• Once we use only affine coordinates, 2D-2D affine transformation no longer matters.