Gibbs Distribution (2)
•
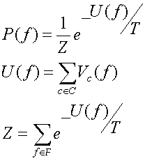
U(f)
is energy function.
•
V
c
(f)
is clique potential
•
Z
is normalizing value.
–
Sum over all labelings.
•
T
is
temperature.
•