•
Note that we now also know how to calculate the Full
Procrustes Distance.
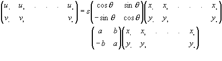
This is just a least-squares solution
to the overconstrained problem:
•
•
•
•
•
•
•
It is not obvious that Full Procrustes is symmetric.