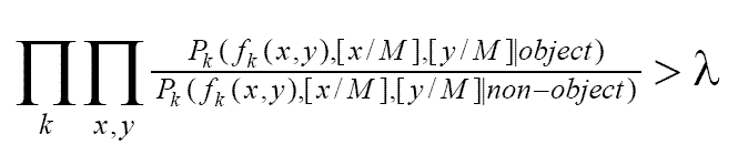
Approximations
•
Parts are statistically Independent –
Localized Dependence for cars, faces, etc.
•
Part values (Wavelet Transform
coefficients) are quantized
•
Part positions are quantized coarsely