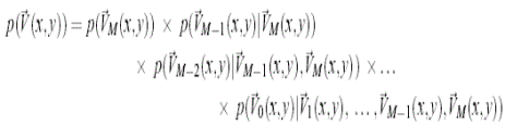
Probabilistic model
•
Generation of nearby pixels strongly dependent