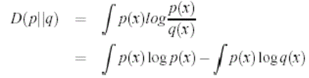
Cross Entropy
•
Viewed as the difference between two expected
log likelihoods
•
Replace integral with monte-carlo sampling
•
Lowest cross entropy vs. false positives (or
negatives)?