Homework 1
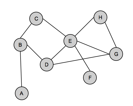
Consider the following sample network:

Answer the following questions about this graph. Put your answers in a
document and turn it in on ELMS/Canvas.
- How many nodes are in the network?
- How many edges are in the network?
- Is this graph directed or undirected?
- Which node(s) have the highest degree? What is the degree?
Which node(s) have the lowest degree? What is the degree?
- What is the degree distribution for this graph?
- Create an adjacency list for this graph.
- Create an adjacency matrix for this graph.
- What is the length of the shortest path from node A to node F?
- What is the density of this graph?
- Draw the 1.5 egocentric network of node G.